(LeetCodeHot100)142. 环形链表 II——linked-list-cycle-ii
(LeetCodeHot100)142. 环形链表 II——linked-list-cycle-ii
zhangzhang142. 环形链表 II——linked-list-cycle-ii
给定一个链表的头节点 head ,返回链表开始入环的第一个节点。 如果链表无环,则返回 null。
如果链表中有某个节点,可以通过连续跟踪 next 指针再次到达,则链表中存在环。 为了表示给定链表中的环,评测系统内部使用整数 pos 来表示链表尾连接到链表中的位置(索引从 0 开始)。如果 pos 是 -1,则在该链表中没有环。注意:pos 不作为参数进行传递,仅仅是为了标识链表的实际情况。
不允许修改 链表。
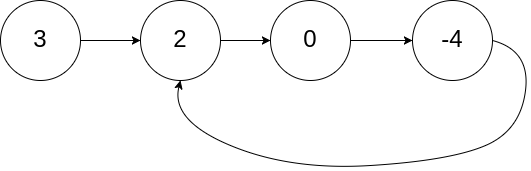
示例 1:
1 | 输入:head = [3,2,0,-4], pos = 1 |
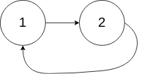
示例 2:
1 | 输入:head = [1,2], pos = 0 |
示例 3:
1 | 输入:head = [1], pos = -1 |
提示:
- 链表中节点的数目范围在范围
[0, 104]内 -105 <= Node.val <= 105pos的值为-1或者链表中的一个有效索引
进阶:你是否可以使用 O(1) 空间解决此题?
我的思路
- 题目说了一堆关于pos的,我感觉跟我做题无关:
- 既不作为参数传递
- 又不返回一个整数,返回的是ListNode类型,肯定是返回是形成环的那个第一个结点
我的正确答案:260ms|击败9.22%
- 时间复杂度太高了
1 | public class Solution { |
官方解答
方法一:哈希表
- 跟我差不多
思路与算法
一个非常直观的思路是:我们遍历链表中的每个节点,并将它记录下来;一旦遇到了此前遍历过的节点,就可以判定链表中存在环。借助哈希表可以很方便地实现。
代码
1 | public class Solution { |
复杂度分析
- 时间复杂度:O(N),其中 N 为链表中节点的数目。我们恰好需要访问链表中的每一个节点。
- 空间复杂度:O(N),其中 N 为链表中节点的数目。我们需要将链表中的每个节点都保存在哈希表当中。
方法二:快慢指针
- 这个是真的妙
思路与算法
我们使用两个指针,fast 与 slow。它们起始都位于链表的头部。随后,slow 指针每次向后移动一个位置,而 fast 指针向后移动两个位置。如果链表中存在环,则 fast 指针最终将再次与 slow 指针在环中相遇。
如下图所示,设链表中环外部分的长度为 a。slow 指针进入环后,又走了 b 的距离与 fast 相遇。此时,fast 指针已经走完了环的 n 圈,因此它走过的总距离为 a+n(b+c)+b=a+(n+1)b+nc。
根据题意,任意时刻,fast 指针走过的距离都为 slow 指针的 2 倍。因此,我们有
a+(n+1)b+nc=2(a+b)⟹a=c+(n−1)(b+c)
有了 a=c+(n−1)(b+c) 的等量关系,我们会发现:从相遇点到入环点的距离加上 n−1 圈的环长,恰好等于从链表头部到入环点的距离。
因此,当发现 slow 与 fast 相遇时,我们再额外使用一个指针 ptr。起始,*它指向链表头部;随后,它和 *slow 每次向后移动一个位置。最终,它们会在入环点相遇**。
代码
1 | public class Solution { |
复杂度分析
- 时间复杂度:O(N),其中 N 为链表中节点的数目。在最初判断快慢指针是否相遇时,slow 指针走过的距离不会超过链表的总长度;随后寻找入环点时,走过的距离也不会超过链表的总长度。因此,总的执行时间为 O(N)+O(N)=O(N)。
- 空间复杂度:O(1)。我们只使用了 slow,fast,ptr 三个指针。






